Sample Special Power of Attorney: Sale of Real Property
For our kababayans living abroad, a Special Power of Attorney (SPA) for the sale of real property becomes a lifeline, a crucial legal document that empowers a chosen representative, known as the agent or attorney-in-fact, to act on your behalf in selling a piece of your property back home. This document is especially vital for those who can’t be there in person due to living overseas or having other commitments.
The beauty of an SPA in property transactions is its ability to smooth out the sale process, ensuring everything goes according to plan—and law—without you needing to be physically present. It offers a secure and legally sound method for your representative to negotiate, sign off on documents, and finalize financial dealings related to the sale, all while adhering to the guidelines and limits you’ve set.
Using this SPA template can be a huge boon for our kababayans who need to manage the sale of their property through someone they trust. It’s essentially a comprehensive guide, covering all the necessary legal bases to protect your rights as the principal, and ensuring the agent fully understands their responsibilities and boundaries. You have the freedom to tweak this template to suit your specific situation by modifying terms and conditions, and creating a customized and effective SPA that fits your unique needs. It’s wise to have this document reviewed by a legal expert to confirm its validity and enforceability where your property is located. This ensures that even from afar, you can manage your affairs back home with peace of mind.
Description
The “Special Power of Attorney for Real Property Sale” sample is a meticulously drafted legal document designed to delegate authority from a property owner (the principal) to a trusted individual (the agent or attorney-in-fact), granting them the power to sell a specified piece of real estate on the principal’s behalf. This document is essential for ensuring that all actions taken by the agent are legally binding and within the scope of authority granted by the principal.
Suitable Scenarios
This SPA format is particularly suited for scenarios where the property owner is unable to manage the sale process due to various reasons such as:
- Residing in a different country or state and being unable to travel
- Physical or health-related issues that prevent the principal from managing the sale
- Professional or personal commitments that limit the principal’s ability to engage in the selling process
Legal Implications
The SPA for real property sale is a powerful legal instrument that must be crafted with precision. It specifies the rights and limitations of the agent, including but not limited to, negotiating sale terms, signing contracts, handling deposits, and completing the transaction. The legal implications of this document are significant as it:
- Ensures that the sale process is conducted per the principal’s wishes and legal standards
- Protects the principal by limiting the agent’s power to the specified transaction, preventing any unauthorized actions
- Requires acknowledgment or legalization through notarization or other legal means to ensure its acceptance by third parties such as buyers, real estate agencies, and legal entities
Customization Options
While the sample provides a comprehensive framework, customization is key to addressing the unique needs of each principal-agent relationship. Customizable elements include:
- Identification of the Property: Clearly describe the real estate to be sold, including its location, dimensions, and any identifying details.
- Scope of Authority: Precisely define what the agent is authorized to do. This can range from listing the property for sale to signing sale documents. The principal can choose to grant broad or limited authority.
- Duration: Specify the timeframe for which the SPA is valid. This can be set for a fixed period or until the completion of the sale.
- Revocation Clause: Include conditions under which the SPA can be revoked by the principal, ensuring control over the agent’s authority.
- Compensation: If applicable, detail any compensation the agent will receive for their services.
💡 Tip: It’s recommended that this SPA sample be used as a starting point for drafting a document tailored to specific requirements. Consulting with a legal professional to incorporate any additional clauses and ensure compliance with local laws and regulations is crucial.
Key Features and Sections
1. Introduction Section
- Parties Involved: Identifies the principal and agent
- Purpose: States the document’s purpose to grant authority for property sale
2. Authority Granted
- Detailed Powers: List, negotiate, sign contracts, receive payments
- Limitations: Actions the agent is NOT authorized to perform
3. Property Description
- Address and legal boundaries
- Parcel/lot numbers
- Reference to Transfer Certificate of Title (TCT)
4. Terms and Conditions
- Duration: Validity period with start/end dates
- Revocation: Conditions for terminating the authority
5. Agent’s Obligations
- Duties: Act in principal’s best interest, maintain records
- Compensation: If applicable, payment terms for services
6. Signatory Requirements
- Execution: Signatures from principal and agent
- Notarization: Witness signatures and notarial seal
7. Governing Law
- Jurisdiction specification
- Typically where property is located
8. Miscellaneous
- Severability: Invalid parts don’t void the document
- Entire Agreement: Complete understanding between parties
Preview

Download the Sample
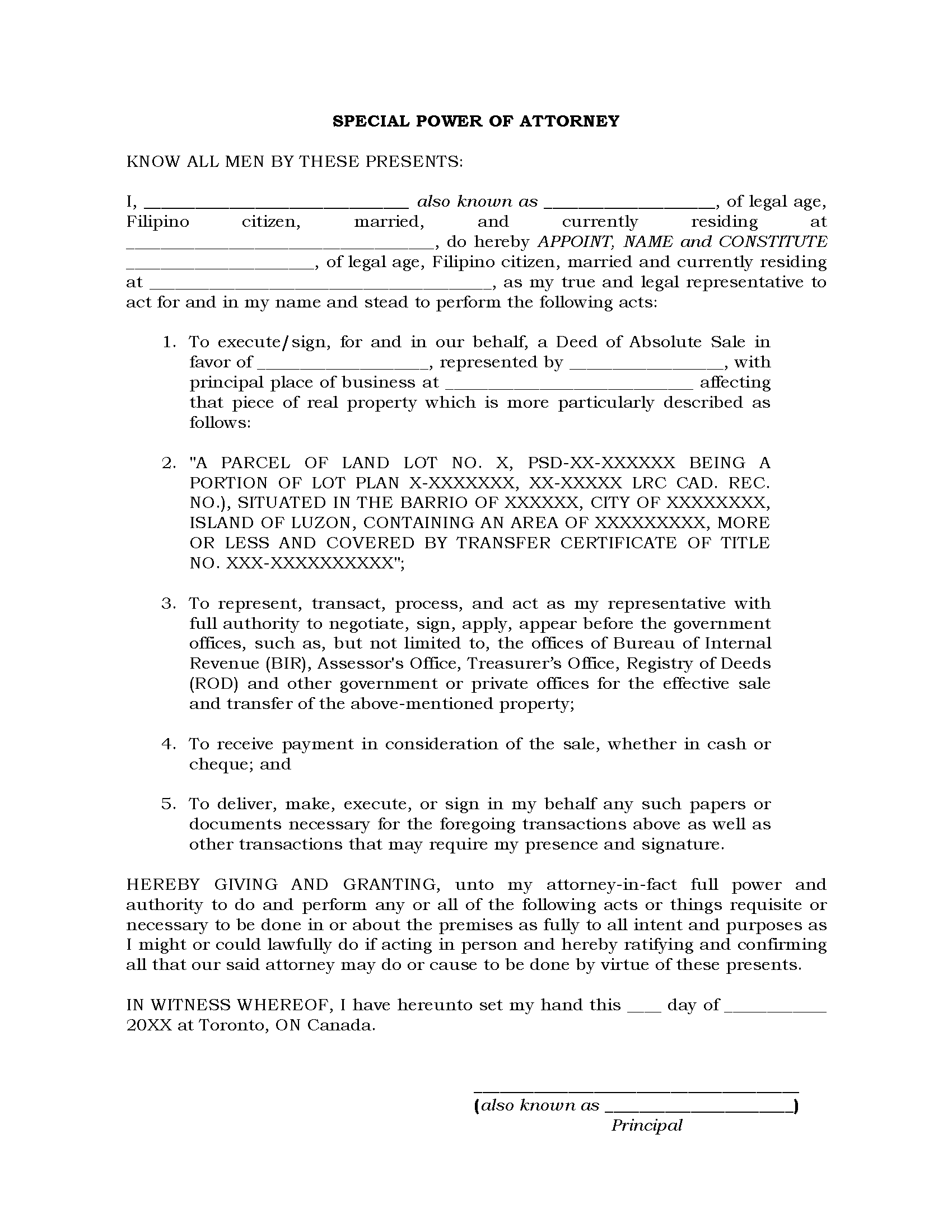
Here’s an example of a special power of attorney for the sale of real property in the Philippines:
How-to Guide: Filling Out the SPA Template
Step 1: Review the Template
- Begin by carefully reading through the SPA template to understand its structure
- Note sections that require specific information (names, property details, scope of authority)
Step 2: Fill in Principal and Agent Details
- Principal Information: Full legal name, address, and contact information of the property owner
- Agent Information: Full legal name, address, and contact details of the person being granted authority
Step 3: Describe the Property
- Fill in the complete legal description including address, legal boundaries, parcel number
- Refer to the original Transfer Certificate of Title (TCT) for accurate details
Step 4: Specify Authority Granted
- Clearly state the specific powers being granted (negotiating, signing, handling finances)
- Define limitations—actions the agent is NOT authorized to perform
Step 5: Set Terms and Conditions
- Specify validity period including any termination conditions
- Outline revocation terms and procedures
Step 6: Legal Requirements
- Determine witness requirements based on local laws
- Indicate the legal jurisdiction governing the SPA
Step 7: Review and Sign
- Double-check all information for accuracy
- Principal signs in presence of witnesses/notary public
- Agent acknowledges acceptance of powers (recommended)
Step 8: Notarize
- Have the document notarized to authenticate identities and validity
Frequently Asked Questions
Is this Special Power of Attorney legally valid in all jurisdictions?
The legal validity of a Special Power of Attorney (SPA) can vary by jurisdiction, as local laws and requirements differ. This template is designed to meet general standards for SPAs used in the Philippines, but it’s crucial to consult with a legal professional in your specific jurisdiction to ensure that the SPA complies with local laws and regulations.
How do I notarize the Special Power of Attorney?
Notarization involves signing the document in the presence of a notary public, who will verify your identity and your understanding of the document’s contents. To notarize your SPA:
- Locate a notary public—often available at law offices
- Schedule an appointment and bring valid identification (driver’s license, passport)
- Sign the document in the notary’s presence as required
- The notary will seal or stamp the document, officially notarizing it
When does the Special Power of Attorney expire?
The expiration of an SPA can depend on the terms set within the document itself. Some SPAs specify a particular date or event upon which the power granted will expire. If no such term is included, the SPA remains valid until it is revoked by the principal or the principal passes away or becomes incapacitated.
Can I revoke the Special Power of Attorney after it’s been notarized?
Yes, the principal has the right to revoke the SPA at any time, provided they are mentally competent. To revoke it, the principal should issue a formal revocation and notify any relevant parties (e.g., the agent, financial institutions, buyers) in writing. Notarizing the revocation document and distributing it as widely as possible is recommended to ensure that the revocation is acknowledged and effective.
What happens if the principal becomes incapacitated?
Generally, a standard SPA becomes invalid if the principal becomes incapacitated.
Do I need a lawyer to create a Special Power of Attorney for real property sale?
While it’s possible to prepare an SPA using a template, consulting with a lawyer is highly recommended to ensure that the document accurately reflects your intentions, complies with local laws, and addresses any specific legal concerns. A lawyer can provide valuable advice on making the SPA comprehensive and legally sound.
Key Legal Terms
- Principal: The person who grants authority to another to act on their behalf
- Agent (Attorney-in-Fact): The individual authorized to act on behalf of the principal
- Notarization: Process of having a document certified by a notary public
- Severability: A clause stating that if part of the agreement is invalid, the rest remains valid
- Jurisdiction: The legal authority under which the document is governed
Have Questions About Your SPA?
Our team can help you prepare your Special Power of Attorney for real property sale in the Philippines. Contact us for a consultation.